Contoh soal induksi magnetik di pusat kawat melingkar nomor 2 un 2013 perhatikan gambar. Solenoida memiliki diameter dalam 8 cm dan panjang 20 cm serta 5000 lilitan dan arus listrik sebesar 4 a.
Contoh Soal Medan Magnetik Solenoida Dan Toroida Asep Respati
Contoh soal solenoida dan pembahasannya. Induksi magnetik di titik p yang berjarak 2 cm dari kawat lurus berarus listrik 2 a adalah. Suatu penghantar dialiri arus listrik i 9 a. Sebuah selenoida yang panjangya 10 cm memiliki jumlah lilitan 200 lilitan. Soal 2 medan magnet di dalam suatu solenoida superkonduksi adalah 8 t. Tentukan besar dan arah induksi magnetik di titik p yang berada tepat di bawah kawat tersebut pada jarak 10 cm. Admin blog berbagi contoh soal 2019 juga mengumpulkan gambar gambar lainnya terkait contoh soal dan pembahasan aldehid dan keton dibawah ini.
1 10 soal medan magnet dan pembahasan 1. Solenoida didefinisikan sebagai sebuah kumparan dari kawat yang diameternya sangat kecil dibanding panjangnya. Berikut ini beberapa contoh soal dan pembahasan materi medan magnet dibahas di kelas xii 12 sma kawat lurus kawat melingkar solenoida dan toroida. Induksi magnetik pada sumbu solenoida. Senin 12 oktober 2015 1. A tentukan rapat energi magnetik yang dikandung medan magnetik tersebut dan b tentukan energi magnetik yang disimpan dalam solenoida dalam bentuk medan magnet.
Garismasuk 6 comments fisika kelas 12 magnet. Contoh soal medan magnet pada selenoida dan toroida beserta pembahasannya 1. Jika jari jari kelengkungan r 2π cm dan µ 0 4π. Contoh soal medan magnet dan pembahasan soal no1. Rangkuman contoh soal sifat koligatif larutan berikut pembahasannya 15062020. 1 seutas kawat dialiri arus listrik i 2 a seperti gambar berikut.
Ketika arus 08 a mengalir melalui solenoida tersebut hitung induksi magnetik pada sebuah titik yang terletak pada sumbu solenoida jika titik tersebut berada. Rangkuman contoh soal simple present pembahasan jawaban 06072020. Contoh soal sistem kehidupan tumbuhan pembahasan jawaban tingkat smp 29062020. Jika induksi magnetik di pusat solenoida adalah 4π x 10 2 t. A di tengah tengah dan b diujung solenoida. Sebuah solenoida yang terdiri dari 1200 lilitan dialiri arus sebesar 20 ampere.
Sebuah kawat lurus panjang yang dialiri arus listik sebesar 10 a dari arah timur ke barat. Contoh soal kelangsungan hidup makhluk hidup berikut pembahasan 05072020. Berikut informasi sepenuhnya tentang contoh soal dan pembahasan aldehid dan keton. Soal 1 sebuah solenoida panjang mengandung 5 lilitan per cm panjang. 2 x 10 7 t. 10 7 wbam maka besar induksi magnetik dititik p adalah.
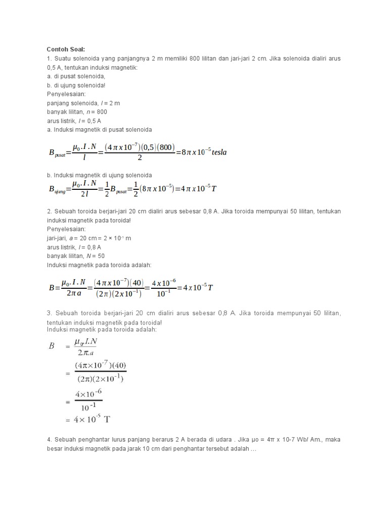
Induksi magnetik pada sumbu solenoida dan toroida beserta contoh soal.













