Contoh soal matriks penjumlahan pengurangan perkalian dan campuran plus jawabannya. Contoh soal perkalian matriks 3 x 3.
Contoh Soal Perkalian Matriks Brainly Co Id
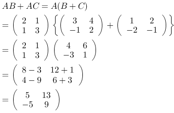
Contoh soal perkalian matriks. Tentukan hasil perkalian matriks 3 x 3 di bawah. Contoh soal dan pambahasan. Pengertian dan jenis jenis matriks. Jika matriks dan saling invers tentukan nilai x. Berikutnya adalah perkalian matriks dengan ukuran yang berbeda. Lengkap dengan contoh soal dan pembahasannya.
Maka nilai x yang memenuhi adalah x 1 2 dan x 2 3. Contoh soal matriks invers perkalian beserta pembahasannya by azzahra rahmah posted on december 29 2019 rumuscoid setelah sebelumnya kita membahas tentang contoh soal logaritma kali ini kita akan membahas materi tentang contoh soal matriks lengkap dengan pembahasannya kita akan jabarkan secara detail dan lengkap dari pengertian matriks macam macam rumus dan contoh soal beserta. Berikut rumus contoh soal dan pembahasan perkalian matriks 3x2 2x2 2x3 3x1 4x4 dst. Simak selengkapnya di bawah. Aljabar smp kelas 7. Perkalian matriks m x n x n x p ulasan terakhir.
Matriks operasi matriks rumus contoh soal matriks dan jawabannya lengkap dalam matematika matriks adalah susunan bilangan simbol atau ekspresi yang disusun dalam baris dan kolom sehingga membentuk suatu bangun persegi. Selain membahas tentang rumus perkalian matriks kami juga akan membahas secara singkat rumus perkalian skalar matriks untuk lebih jelasnya silahkan simak penjabaran. Pemanfaatan matriks misalnya dalam menemukan solusi sistem persamaan linear. Soal himpunan kelas 7 lengkap dengan pembahasan. Tentukan nilai x yang memenuhui persamaan tersebut. Suatu perkalian matriks.
Misalnya matriks ordo 2 x 3 dapat dikalikan dengan matriks ordo 3 x 3 tetapi tidak bisa dikalikan dengan matriks berordo 3 x 2 karena jumlah baris matriks ordo 3 x 2 tidak sama dengan jumlah kolom matriks ordo 2 x 3. Kumpulan soal tentang perkalian matriks dan pembahasannya. Dua buah matriks a dan b dapat dikalikan bila banyak kolom matriks a sama dengan banyak baris pada matriks b. Soal aljabar kelas 8 beserta pembahasan lengkap. Rumuscoid setelah sebelumnya kita membahas tentang rumus persamaan eksponen kali ini kita akan membahas materi tentang rumus perkalian matriks kita akan jabarkan secara detail dan lengkap dari pengertian matriks pengertian perkalian matriks sifat sifat perkalian matriks jenis jenis perkalian matriks beserta rumus dan contoh soalnya. Perkalian matriks adalah salah satu pembelajaran dalam ilmu matematika.


















