Layangan bunyi atau pelayangan bunyi adalah terjadinya pengerasan bunyi dan pelemahan bunyi tersebut adalah efek dari interferensi gelombang bunyi. Sebuah garpu tala dibunyikan di atas kolomudara yang dimasukan ke dalam air.
Apa Yang Dimaksud Dengan Frekuensi Layangan Bunyi لم يسبق له
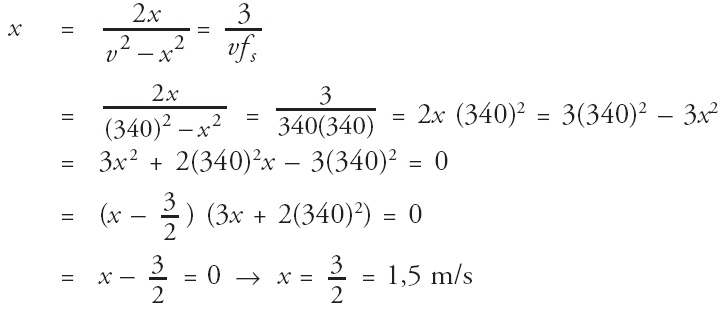
Contoh soal pelayangan bunyi. Serta soal soal untuk menguji pemahaman siswa. Soal no1 sbmptn 2018 sebuah dawai dengan panjang 05 m dan massa 10 gram ditegangkan sebesar 200 n. Contoh soalnya seperti berikut. Pelayangan akan terjadi jika dua sumber bunyi menghasilkan frekuensi gelombang yang mempunyai beda frekuensi yang kecil. Sebuah sirine pada mobil pemadam kebakaran dengan frekuensi 2000 hz mendekati seseorang yang memancarkan bunyi dengan frekuensi yang samabergerak mendekati mobil pemadam kebakaaran. V adalah kecepatan bunyi dalam mdetik λ adalah panjang gelombang dalam meter f adalah frekuensi sumber bunyi dalam hz contoh soal.
Download rangkuman contoh soal gelombang bunyi kelas xi11 dalam bentuk pdf klik disini. Secara keseluruhan blog ini berisi materi tentang gelombang bunyi. Kamis 08 oktober 2015 pelayangan beats merupakan fenomena yang menerapkan prinsip interferensi gelombang. Dengan demikian gelombang mempunyai energi. Pernyataan yang benar adalah sebagai berikut. Bunyi termasuk sebagai gelombang dan sebagai salah satu sifat gelombang yaitu dapat berinterferensi demikian juga pada bunyi juga mengalami interferensi.
Gelombang dapat merambatkan energi. Blog ini merupakan tugas akhir mata kuliah multimedia pembelajaran fisika. Aplikasi soal fisika sma tentang pelayangan bumi sangat beragam. Materi pelayangan bunyi beserta contoh soal. 1 layangan didefinisikan sebagai gejala dua bunyi keras atau dua bunyi lemah secara berurutan 1 layangan keras lemah keras atau lemah keras lemah dari gambar tampak bahwa periode pelayangan yang terjadi adalah setengah periode gelombang t maka t l ½ t atau f l ½ f maka f l ½ f 1 f 22. Energi dan taraf intensitas gelombang bunyi pelayangan bunyi rumus contoh soal jawaban persamaan fisika gelombang dapat merambat dari satu tempat ke tempat lain melalui medium yang bermacam macam.
Salah satu soal yang sering dijumpai adalah soal yang menggabungkan antara pelayangan bunyi dengan efek doppler. Blog ini dilengkapi animasi simulasi dan video untuk mempermudah siswa dalam belajar. Berikut ini adalah kumpulan berkas file guru tentang contoh soal frekuensi pelayangan bunyi yang bisa anda unduh secara gratis dengan menekan tombol download. Contoh soal pembahasan gelombang bunyi kelas xi11. Garismasuk add comment bunyi fisika kelas 12.
















