Di sini kamu akan belajar tentang limit pemfaktoran melalui video yang dibawakan oleh bapak anton wardaya. Dalam bahasa matematika keadaan ini adalah umum disebut limit.
Soal Dan Pembahasan Limit Fungsi Guru Ilmu Sosial
Contoh soal limit fungsi pemfaktoran. Pengertian limit dalam ilmu matematika. Tulisan ini terkait dengan tulisan pada kategori latihan soal persamaan dan fungsi kuadrat. Contoh soal dan pembahasan limit perkalian sekawan posted by edutafsi on 18 april 2015 1241 am selain dengan metode substitusi metode pemfaktoran dan dalil lhospital kita juga dapat menentukan nilai limit dari suatu fungsi dengan menggunakan metode perkalian sekawan. Limit fungsi aljabar limit bisa diartikan sebagai menuju batas sesuatu yang dekat namun tidak bisa dicapai. Contoh soal dan jawaban limit metode pemfaktoran posted by edutafsi on 17 april 2015 833 am adakalanya nilai limit suatu fungsi tidak dapat ditentukan hanya dengan metode substitusi karena dihasilkan bilangan yang tak tentu. Pembahasan soal limit fungsi aljabar soal limit dengan pemfaktoran contoh limit dengan substitusi contoh limit dengan membagi pangkat tertinggi soal limit untuk tak terhingga.
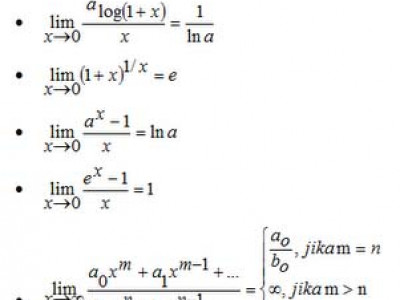
Kumpulan soal mudah sedang sukar. Rumus limit matematika fungsi tak hingga contoh soal by azzahra rahmah posted on december 17 2019 rumuscoid setelah sebelumnya kita membahas tentang rumus persamaan nilai mutlak kali ini kita akan membahas materi tentang rumus limit matematika kita akan jabarkan secara detail dan lengkap dari pengertian limit teorema limit rumus beserta contoh soal dan pembahasannya. Limit didalam konsep ilmu matematik biasa digunakan untuk menjelaskan suatu sifat dari suatu fungsi saat agumen telah mendekati pada suatu titik tak terhingga atau sifat dari suatu barisan saat indeks mendekati tak hingga. Berikut ini adalah kumpulan soal latihan limit tak tentu fungsi aljabar yang penyelesaiannya menggunakan faktorisasi. Soal limit aljabar yang diselesaikan dengan pemfaktoran. Limit biasa dipakai dalam kalkulus dan cabang lainnya dari analisis matematika untuk mencari turunan dan kontinyuan.
Posted in matematika tagged belajar limit fungsi contoh soal limit fungsi aljabar bentuk akar contoh soal limit fungsi pemfaktoran limit fungsi tak hingga limit fungsi trigonometri materi limit fungsi smk modul limit fungsi aljabar sifat sifat limit fungsi post navigation. Kamu akan diajak untuk memahami materi hingga metode menyelesaikan soal. Berikut akan kami jelaska tentang pengertian beserta rumus metode sifat teorema dan contoh soalnya untuk lebih jelasnya sima pembahasan dibawah ini.
















