Berikut ini penjelasan lengkap tentang matriks mulai konsep dasar penjumlahan dan pengurangan perkalian matriks determinan invers contoh soal dsb. Kali ini materi yang akan dibahas adalah bagaimana cara menentukan determinan matriks yang meliputi pengertian sifat sifat dan beberapa contoh.
Determinan Dan Invers Matriks Konsep Matematika Koma
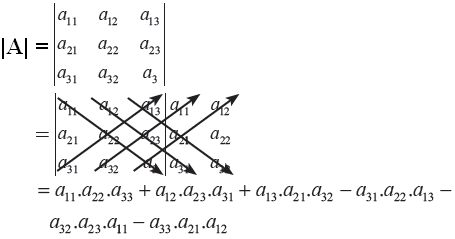
Contoh soal determinan matriks. Cara menghitung determinan pada matriks dengan ordo tiga biasa disebut dengan aturan sarrus. Mengenal pengertian ordo matriks menentukan determinan suatu matriks menentukan nilai x yang memenuhi persamaan matriks dan konsep kesamaan matriks. Determinan matriks ordo 3 x 3. Rumuscoid makalah materi definisi pengertian sifa sifat rumus dan contoh soal determinan matriks ordo 22 ordo 33 ordo nxn dimana pada kesempatan sebelumnya kita juga telah membahas tentang invers matriks untuk lebih jelasnya simaklah penjelasan dibawah ini. Contoh soal dan pembahasan tentang matriks contoh soal dan pembahasan tentang operasi matriks contoh soal dan pembahasan tentang transpose matriks contoh soal dan. A b t a t b t a t t a ca t cat c adalah konstanta ab.
Matriks ordo 3 adalah matriks bujur sangkar dengan banyaknya kolom dan baris sama dengan tiga. Tentukan nilai determinan matriks. Bentuk umum matriks ordo 3 adalah sebagai berikut. Contoh soal matriks invers perkalian beserta pembahasannya by azzahra rahmah posted on december 29 2019 rumuscoid setelah sebelumnya kita membahas tentang contoh soal logaritma kali ini kita akan membahas materi tentang contoh soal matriks lengkap dengan pembahasannya kita akan jabarkan secara detail dan lengkap dari pengertian matriks macam macam rumus dan contoh soal beserta. Determinan matriks ordo 3 3 pengayaan jika a adalah matriks persegi berordo 3 3 determinan a dinyatakan dengan det a ada 2 cara yang dapat digunakan untuk menentukan determinan matriks berordo 3 3 yaitu aturan sarrus dan metode minor kofaktor. Kumpulan soal tentang determinan matriks beserta jawaban.
Matriks a transpos a t adalah sebuah matriks yang disusun dengan cara menuliskan baris ke i matriks a menjadi kolom kei dan sebaliknya. Beberapa sifat matriks adalah sebagai berikut.














