Pedoman analisis jabatan struktural rumah sakit muhammadiyah kalitidu. Form anjab penyempurnaan.
Anjab Sekretaris
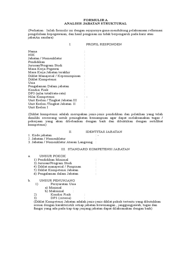
Contoh analisis jabatan struktural. Contoh analisis jabatan struktural. Contoh analisis jabatan pengadministrasi umum di kelurahan. Contoh jabatan struktural di pns pusat adalah. Oleh dosen pendidikan 2 diposting pada 05032020. Lampiran peraturan kepala badan kepegawaian negara nomor. Berdasarkan pasall7 ayat 1 undang undang nomor 43 tahun 1999 tentang perubahan atas undang undang nomor 8 tahun 1974 tentang pokok pokok kepegawaian ditentukan bahwa pegawai negeri sipil diangkat dalam jabatan.
Jabatan struktural yaitu jabatan yang secara tegas ada dalam struktur organisasi. Sekretaris jenderal direktur jenderal kepala biro dan staf ahli. Nama jabatan sesuai dengan nomenklatur unit kerjanya yang diawali kata kepala misal. 0 0 upvotes mark this document as useful 0 0 downvotes mark this document as not useful embed. Save save contoh analisis jabatan struktural for later. Untuk jabatan struktural.
Untuk jabatan non struktural jabatan fungsional umum di bawah eselon iv perumusan nama jabatannya dilakukan dengan menginventarisir dan mengelompokkan pekerjaan pekerjaan. Analisis jabatan pada dasarnya merupakan suatu bentuk penelitian dengan tipe deskriptif yaitu dengan mengumpulkan data jabatan mengolahnya menjadi informasi jabatan dan menyajikannya untuk program program tertentu. Penjelasan dari masing masing jenis makna kata juga telah dipaparkan seperti artikel tentang contoh makna kias contoh makna asosiasi contoh makna stilistik contoh makna referensial dan non referensial contoh makna afektif dan contoh makna kolokatif. Pengertian analisis jabatan analisis jabatan pengertian makalah metode contoh pentingnnya analisis jabatan adalah kegiatan untuk menciptakan landasan atau pedoman bagi penerimaan dan penempatan karyawan. Analisis jabatan memiliki 7 manfaat untuk memimpin suatu perusahaan atau organisasi salah satu manfaatnya adalah untuk memecahkan masalah tentang kepegawaian khususnya yang saling berhubungan dengan tugas yang harus dia lakukan di perusahaan tersebut. 12 tahun 2011 tanggal.
28 junl2011 pedoman pelaksanaan analisis jabatan i. Unit kerjanya bagian analisa jabatan maka nama jabatannya kepala bagian analisa jabatan. Pengertian analisis jabatan analisis jabatan pengertian makalah metode contoh pentingnnya analisis jabatan adalah kegiatan untuk menciptakan landasan atau pedoman bagi penerimaan dan penempatan karyawan. Pengertian makna struktural beserta contohnya materi mengenai jenis jenis makna kata telah dibahas pada kesempatan sebelumnya. Carousel previous carousel next. Dengan demikian maka keberhasilan analisis jabatan sebagai proses untuk menghasilkan informasi.
Berikut beberapa manfaat analisis jabatan antara lain. Contoh analisis jabatan struktural eselon iv. Kedudukan jabatan struktural bertingkat tingkat dari tingkat yang terendah eselon ivb hingga yang tertinggi eselon ia. Oleh dosen pendidikan 2 diposting pada 05032020.















